东北地理所在水稻有机栽培提高微生物碳利用效率的机制研究取得新进展
有机农业作为一种环境友好型农业管理方式,在提升土壤健康和促进可持续农业发展方面受到广泛关注。然而,有机种植如何通过调控土壤微生物群落提升碳利用效率(CUE),进而增强土壤碳汇功能,其机制尚不清晰。近日,东北地理所农田分子生态学科组在东北黑土区科研人员系统比较了长期有机与常规两种水稻栽培模式下,土壤微生物CUE在水稻生育期内的动态变化,并结合土壤理化性质、微生物群落结构、酶活性及生态化学计量学特征,深入解析了微生物CUE驱动土壤有机碳动态的特征与机制。
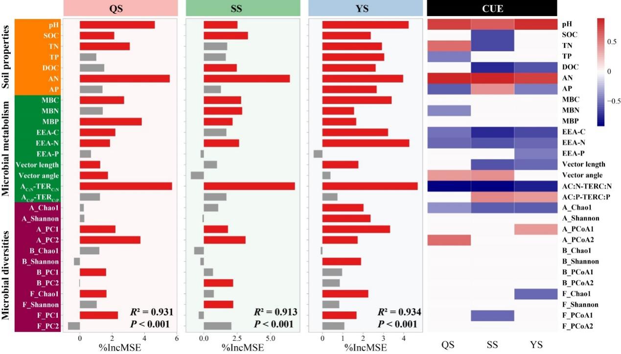
有机栽培提高了土壤pH值和速效养分含量,缓解了微生物碳和氮限制,从而增强了微生物化学计量平衡和碳利用效率。常规栽培下,在水稻生长的后期微生物为应对养分胁迫,分配更多能量用于合成胞外酶,导致微生物多样性和生物量下降,最终降低了微生物CUE(图1)。土壤有效氮含量和碳氮阈值元素比(TERC:N)是微生物CUE的关键调控因子(图2)。研究发现地杆菌科(Geobacteraceae)相关属、Ferruginibacter和Propioniciclava等通过调节微生物的生长策略和代谢途径对CUE产生显著影响。具有高rRNA操纵子(rrn)拷贝数的微生物模块更倾向于采用快速生长策略(Y策略),促进碳向生物量合成方向分配,从而提升CUE(图1)。本研究强调了有机农业在提高土壤微生物碳利用效率以减少生态系统碳损失方面的潜力,为优化土地管理策略以实现土壤碳封存和推进可持续农业实践提供理论基础。
相关成果发表在国际期刊《Agriculture ,Ecosystems & Environment》上。东北地理所特别研究助理刘株秀为论文的第一作者,刘俊杰研究员为通讯作者。研究得到国家重点研发计划,国家自然科学基金青年基金和黑龙江省春雁支持计划青年科技英才项目的共同资助。

图1 有机水稻栽培改善土壤养分有效性和微生物资源获取策略提高土壤微生物CUE

图2土壤微生物碳利用效率的主要影响因素
论文信息如下:
Liu Z X, Gu H D, Hu X J, Yu Z H, Li Y S, Jin J, Liu X B, Liu J J*, Wang G H. Enhancing microbial carbon use efficiency in organic rice farming through improved soil nutrient availability and microbial resource acquisition strategies. Agriculture, Ecosystems and Environment, 2026, 397: 110097.
论文链接:https://doi.org/10.1016/j.agee.2025.110097
附件下载: